2016年第11期參考答案:可剝離清漆

Roland Somborn 博士
Axalta公司Wuppertal現場職業培訓中心負責人。之前,他在DuPont Performance Coatings負責生產可靠性工作。除教育外,他的專業主要是涂料體系的配方和生產。
以下為《歐洲涂料雜志》第11期配方培訓中可剝離清漆的參考答案。
基本配方
按照下列順序添加原材料,并攪拌
聚乙酸乙烯酯-乙烯共聚物(體積固體份55%的水乳液),60.0%
防黏劑,3.0%
體積固體分5.5%的水乳液
聚丙烯酸酯共聚物(體積固體分60%的水乳液),25.0%
聚丙二醇,0.5%
邊攪拌邊緩慢加入以下物質:
藍色染料溶液(20%),4.0%
邊攪拌邊緩慢倒入以下物質:
增稠劑,2.0%
參考答案-主要問題
問題1:要求
制備可剝離清漆需要做好以下事項:以合理的價格進行生產
施工快,并具有經濟性
干燥的可剝離清漆的剝離必須方便徹底
可循環使用,也不會因水而發生溶脹與下表面無任何反應
在下表面上不留任何痕跡,例如:由于可剝離清漆中產生氣泡,在邊緣會留下痕跡
加工和廢棄時無污染,最好能回收
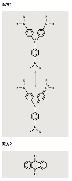
問題2: 藍色染料
透明分散顏料和染料均可用于可剝離清漆的染色。酸性染料的堿性鹽可用作水溶性染料。其中包括三芳基甲烷(三芳基碳鎓)或蒽醌染料。(參見配方1和配方2)
問題3:助劑
建議使用以下助劑來配制可剝離清漆:
乳化劑,用于穩定分散
如果可剝離清漆要使用較長的時間,注意避光。
分散劑或成膜方法
增稠劑,改變流變性
防黏劑(q.v.4.)
問題4:防粘劑
防粘劑通常由硅油、脂肪酸酯或聚四氟乙烯改性的聚酯蠟組成。它們可大大降低了涂層材料的表面張力,使得涂層與下表面的附著力喪失(=粘結性喪失)。
問題5:攪拌器類型
在涂料工業中,根據物料的流動方向,最常用的攪拌器分為軸向攪拌器和徑向攪拌器。軸向攪拌器使待均化的物料通過中心從頂部流向底部(在外部從底部流向頂部),而徑向攪拌器中物料的流動方向是由中間流向邊緣。
軸向攪拌器:螺旋槳式攪拌器或葉片式攪拌器
徑向攪拌器:框式攪拌器、錨式攪拌器或盤式攪拌器
根據容器中物料的粘度、所需的攪拌時間和目的,使用不同類型的攪拌器。
對于低黏度流體:使用螺旋槳式攪拌器、葉片式攪拌器或盤式攪拌器
對于中黏度流體:使用框式攪拌器、推進式攪拌器、錨式攪拌器或盤式攪拌器對于高黏度流體:使用螺旋槳式攪拌器或推進式攪拌器
問題6:PH值
pH值表示氫質子H+(最好用H3O+表示)的濃度,顯示酸濃度的程度。根據定義,pH值范圍0~14。pH值7表示中性溶液,pH值小于7是酸性溶液,pH值大于7是堿性溶液。在該定義中,氫離子濃度表示為負的常用對數(Log10)。例如,pH值為1表示H+濃度為10-1mol/L,pH值為5表示H+濃度為10-5mol/L等。
確定pH值的一個簡單方法是使用試紙。用待測定的溶液潤濕試紙,試紙的顏色隨著H+濃度的變化而變化。
在實踐中,更準確的方法是通過使用玻璃電極的電位滴定法來測定pH值。玻璃電極用于測量待測溶液和參考溶液(可在電極內部看到)之間的電化學電位。
問題7:出現痕跡的原因
不正確的施工和熱量、水或天氣的影響均可能會導致氣泡的產生。部分氣泡中含有水,天氣條件和“老化”可能使這些氣泡具有“微型溫室”的作用。清漆中的一些組分和水之間的反應可導致基料的降解(≥失光),和顏料的相互作用導致顏色變化。這就可能導致痕跡的形成,大多出現在氣泡的邊緣。
問題8:可剝離清漆的涂裝
當涂裝可剝離清漆時,要確保干燥的涂料形成封閉且易于剝離的膜是很重要的。該干涂層的厚度至少應為100μm,才能使涂膜能在不斷裂的情況下被剝離。
可剝離清漆最簡單的施工方法是使用刷涂或輥涂方式。雖然無氣噴涂也是合適的,但是應當注意,不能出現漆霧,否則很難清除。
問題9:可剝離清漆的廢棄
固體的剝離涂料應該可作為普通的家用垃圾進行處理。這意味著剝離下來的固體膜不允許含有任何有毒材料(例如:重金屬顏料)。此外,還需要良好的生物降解性。另一個要求是可剝離清漆可以是可循環使用的。
往期推薦
-
-
《歐洲涂料雜志》(中文版)2024第3期
專題:顏料和填料 丙烯酸乳膠可持續發展的替代品 市場報告:填料和顏料市場 含納米二氧化鈦的涂料
-
-
《歐洲涂料雜志》(中文版)2024第1/2期
專題:防護涂料 生物基直接替代解決方案 當前研發情況和面臨的主要挑戰 年度調查:2023年回顧和2024年展望
-
-
《歐洲涂料雜志》(中文版)2023第12期
專題:粉末涂料 膠體二氧化硅在鍍鋅鋼水性PUD涂料中的應用 改善乳膠膜質量和涂料性能 具有生態效益的涂料性能
-
-
《歐洲涂料雜志》(中文版)2023第11期
專題:功能涂料 環氧涂料:用于低排放地坪的固化劑 防涂鴉聚氨酯應用的有機硅助劑 市場報告:性能高,銷量大
-
-
《歐洲涂料雜志》(中文版)2023第10期
專題:樹脂和助劑 技術論文:棄用包裝涂料中的聚四氟乙烯組分 鋅片可以作為鋅粉的可持續發展替代品 市場報告:涂料助劑市場逐趨穩定
-
-
《歐洲涂料雜志》(中文版)2023第9期
專題:水性涂料 納米纖維素:有潛力的生物基材料 高性價比的綠色納米纖維素 市場報告:水性涂料的紫外線防護性能
-
-
《歐洲涂料雜志》(中文版)2023第7/8期
專題:生物基涂料 為涂料配方設計師合成一種新型固化劑 將光引發劑接枝到丙烯酸酯上 市場報告:生物基涂料市場正處于拐點
-
-
《歐洲涂料雜志》(中文版)2023第6期
專題:木器涂料 數字化和可持續發展轉型 提高表面耐久性和延長使用壽命 市場報告:工業木器涂料的堅實基礎
