2016年第10期參考答案:電絕緣涂料
以下為《歐洲涂料雜志》第10期“配方培訓”中“電絕緣涂料”的參考答案。
基本配方
按照規定的順序加料,混合并充分攪拌。
不飽和聚酯酰亞胺樹脂(65%的苯乙烯溶液),94.0%。
軟樹脂(聚丙烯酯樹脂,50%的二苯甲溶液),0.2%。
催干劑溶液(辛酸錳),0.1%。
消泡劑,0.6%。
苯乙烯,1.0%。
采用阻聚劑來調節反應活性。
用4.1%的苯乙烯來調節黏度。
參考答案-主要問題
問題1:浸漬樹脂的要求
浸涂電動機的樹脂除了具有浸漬功能外,還應具有以下性能要求:
>電動機運行期間的耐熱性。
>耐化學性和耐機械性。
>耐電動機的機械穩定性,所以振動和高速轉速不會降低其性能。
>電機運行期間在正常電壓下的電絕緣性,特別是在電動機啟動時高電壓下的電絕緣性。
>在金屬導線和包裝板材料之間具有良好的熱導性。
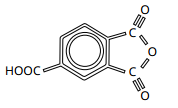
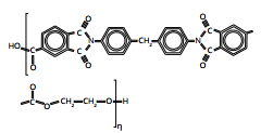
問題2:聚酯酰亞胺
a.設計—原材料
為了設計聚酰亞胺酯,將多元醇,二元羧酸、三元羧酸和二氨基化合物縮聚成聚合物。例如,乙二醇和丙三醇用作多元醇。

羧酸組分可以采用偏苯三酸酐和對苯二甲酸二甲酯。

二氨基二苯甲烷用作氨基組分。

例如,可以使用蘋果酸酐制備不飽和聚酯酰胺。使用活性稀釋劑可以制成不揮發性幾乎達到100%的浸漬樹脂。
b.分子結構設計

c.質量
采用聚酯酰亞胺的涂料具有良好的耐化學性、耐水性、防腐性和耐熱性,同時兼具良好的機械性和延展性,可以大大限制它在常用溶劑中的溶解度,這和聚合物的設計有關。從健康角度來說,必須使用的溶劑(如甲酚)通常認為是不安全的。
問題3:用于制備聚酯酰亞胺的溶劑
芳香烴適合作聚酯酰亞胺的溶劑。例如,在酰亞胺比例較低的情況下,可使用二甲苯。酰亞胺比例越高,聚合物越難溶解,必須使用甲酚或二甲苯。

問題4:用于電絕緣涂料的助劑
在制備浸漬樹脂時,使用流變助劑和消泡劑是合理的,但要根據要求和質量選用。通過添加催化劑,可以縮短交聯時間以及降低交聯溫度。阻聚劑可提高儲存穩定性,減少過早聚合的危險。在制備色漆時,應使用交聯劑和分散劑。
問題5:顏填料的影響
由于小部分顏料組分之間存在離子和毛細孔,顏填料會導致電絕緣性的下降。
問題6:電絕緣涂料的涂裝方法
我們采用適用于涂裝浸漬樹脂的各種方法。卷材產品最好采用浸涂法進行浸漬。在涂裝時,將工件慢慢浸入浸漬樹脂中,然后再慢慢取出。由于滴掛問題,不可避免的會增加工作量,損失也較大。如果在真空條件下施工,那么能很好地填充空隙。通過旋轉固化的方法效果會更好。另一種方法是滴浸。將樹脂噴涂在預熱(小于95°C)的旋轉工件上。為了進行固化,將工件旋轉15~30min,然后進行加熱,加熱溫度達130°C~150°C。
問題7:混入空氣的影響
混入空氣后會導致電絕緣性能的下降。在較高的電壓下,會造成針孔,這意味著導線和導線之間會出現擊穿現象。
問題8:正向電阻率
正向電阻率表示在直流電壓下涂料的絕緣能力,用歐姆或歐姆-厘米來表示??梢园凑誅IN ICE93(VDE0303第30部分)和DIN ICE167(VDE0303第31部分)的方法進行測定,并受以下因素影響:
>電極形狀和型號
>溫度
>空氣濕度
>電壓的高低和持續時間
為了計量,將樣品連接到兩個保持規定距離的電極上。通過同時測量輸入到未知電阻的直流電壓和通過電阻的電流,可以測定正向比電阻(電阻率)。問題9:電流可能造成的危險
如果電流通過人體,可能會造成相當大的傷害。電流強度和電流持續時間對于造成的傷害很重要??赡軙l生體內燒傷、液體損失、肌肉萎縮和痙攣、呼吸停止、神經腦振蕩、血壓上升、心室顫動以及心臟驟停。另外,在電流的出入口處都會留下疤痕。
往期推薦
-
-
《歐洲涂料雜志》(中文版)2024第3期
專題:顏料和填料 丙烯酸乳膠可持續發展的替代品 市場報告:填料和顏料市場 含納米二氧化鈦的涂料
-
-
《歐洲涂料雜志》(中文版)2024第1/2期
專題:防護涂料 生物基直接替代解決方案 當前研發情況和面臨的主要挑戰 年度調查:2023年回顧和2024年展望
-
-
《歐洲涂料雜志》(中文版)2023第12期
專題:粉末涂料 膠體二氧化硅在鍍鋅鋼水性PUD涂料中的應用 改善乳膠膜質量和涂料性能 具有生態效益的涂料性能
-
-
《歐洲涂料雜志》(中文版)2023第11期
專題:功能涂料 環氧涂料:用于低排放地坪的固化劑 防涂鴉聚氨酯應用的有機硅助劑 市場報告:性能高,銷量大
-
-
《歐洲涂料雜志》(中文版)2023第10期
專題:樹脂和助劑 技術論文:棄用包裝涂料中的聚四氟乙烯組分 鋅片可以作為鋅粉的可持續發展替代品 市場報告:涂料助劑市場逐趨穩定
-
-
《歐洲涂料雜志》(中文版)2023第9期
專題:水性涂料 納米纖維素:有潛力的生物基材料 高性價比的綠色納米纖維素 市場報告:水性涂料的紫外線防護性能
-
-
《歐洲涂料雜志》(中文版)2023第7/8期
專題:生物基涂料 為涂料配方設計師合成一種新型固化劑 將光引發劑接枝到丙烯酸酯上 市場報告:生物基涂料市場正處于拐點
-
-
《歐洲涂料雜志》(中文版)2023第6期
專題:木器涂料 數字化和可持續發展轉型 提高表面耐久性和延長使用壽命 市場報告:工業木器涂料的堅實基礎
